تن تبرید یک واحد اندازه گیری توان است. ریشه استفاده از واحد اندازه گیری تن تبرید به صنعت تولید یخ بر می گردد.
این واحد جهت تعریف ظرفیت انتقال حرارت در سیستم های تبرید و تهویه مطبوع از جمله چیلر، روفتاپ پکیج، داکت اسپلیت و … استفاده می شود.
مفهوم تن تبرید در تهویه مطبوع
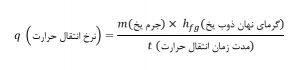
در صنعت تهویه مطبوع، یک تن تبرید میزان گرمایی است که می تواند یک تن یخ صفر درجه را در 24 ساعت به یک تن آب صفر درجه تبدیل کند.
در تعریف تن تبرید، منظور از یک تن یخ، یک تن کوچک (Short On) یعنی 907 کیلو گرم است. بر خلاف تصور، بسیاری که آن را معادل 1000 کیلوگرم در نظر می گیرند.
مطالب مرتبط: ظرفیت سنجی در تهویه مطبوع خانگی
با اینکه اکثر سیستم های برودتی در بازار با واحد تن تبرید است، اما استفاده از واحدهای کیلووات و Btu/hr نیز رایج است. لذا ضروری است که بتوانیم به این واحدها را به یکدیگر تبدیل کنیم.

یک تن تبرید به طور تقریبی برابر است با 12000Btu/h یا 3.5KW
تبدیل تن تبرید به کیلووات
هر تن تبرید معادل است با 3.5KW که با فرمول زیر محاسبه می شود.

تبدیل تن تبرید به BTU
هر تن تبرید معادل است با 12000Btu/h که با فرمول زیر محاسبه می شود.
![]()
متخصصین تهویه مطبوع شرکت مهندسی و مشاوره صنایع مبتکران گلدیران به شما کمک می کنند تا کیفیت هوای داخل منزل یا محل کار خود را بهبود بخشید و خانواده خود را راحت تر و ایمن تر کنید. فرقی نمی کند که به دنبال یک تصفیه کننده هوا هستید یا یک سیستم تهویه مطبوع، ما اینجا هستیم تا در هر مرحله از این فرآیند به شما کمک کنیم.
با تکمیل فرم مشاوره خرید آنلاین یا تماس با شرکت مهندسی و مشاوره صنایع مبتکران گلدیران می توانید از خدمات مشاوره رایگان ما بهره مند شوید.







بدون دیدگاه