ساختمانها بر اساس مقررات ملی ساختمان موظف به تأمین هوای تازه و کنترل آلایندهها، رطوبت و دمای هوا هستند. تهویه مناسب به منظور ورود هوای تازه و خروج هوای آلوده، یکی از اصول اولیه طراحی معماری ساختمان به شمار میرود. این موضوع از گذشته در طراحی خانههای مسکونی، مدارس، مساجد و سایر کاربریها توسط معماران با دقت و ظرافت مورد توجه بوده است.
پیش از تدوین مقررات ملی ساختمان، تهویه در ساختمانها به صورت سنتی و از طریق درزها، بازشوها و تبادل طبیعی هوا انجام میشد. اما با ظهور درب و پنجرههای دوجداره و کاهش نفوذ هوا، تهویه طبیعی محدود شد و ساختمانها با کمبود هوای تازه و کاهش سطح اکسیژن مواجه گردیدند که این موضوع مشکلات متعددی برای ساکنان ایجاد کرد.
در مبحث 19 مقررات ملی ساختمان، طراحان موظف به تأمین هوای تازه شدهاند. در این مبحث تأکید شده است که در صورت استفاده از تمهیدات مختلف برای کاهش نفوذ هوا از درزها و بازشوها، باید هوای تازه مورد نیاز به صورت مکانیکی تأمین شود تا سلامت و بهداشت ساکنان تضمین گردد.
همچنین استاندارد ASHRAE در استاندارد ASHRAE Standard 62.1 – Ventilation for Acceptable Indoor Air Quality الزامات تهویه برای کاربریهای مختلف ساختمان را مشخص کرده است.
اهداف تأمین هوای تازه در ساختمان عبارتاند از:
- تأمین اکسیژن مورد نیاز برای تنفس افراد
- جلوگیری از افزایش غلظت گاز کربندیاکسید
- جلوگیری از راکد ماندن هوا
- تأمین هوای احتراق تجهیزات گازسوز
- جلوگیری از افزایش رطوبت غیرمجاز
- کاهش آلایندههای داخلی
تأمین هوای تازه میتواند به صورت طبیعی (از طریق بازشوها) یا به صورت مکانیکی (با استفاده از دستگاههای دمنده) انجام شود. در روش مکانیکی، با ایجاد فشار مثبت در فضا، نفوذ هوای ناخواسته و اثر دودکشی ساختمان به حداقل میرسد.
طبق مبحث 14 مقررات ملی ساختمان، مقدار هوای تازه مورد نیاز برای کاربریهای مختلف مشخص شده و باید توسط طراحان لحاظ گردد. همچنین در صورت وجود وسایل گازسوز، تأمین هوای احتراق نیز الزامی است. هرچه ظرفیت حرارتی تجهیزات بیشتر باشد، میزان هوای تازه مورد نیاز نیز افزایش مییابد.
با توجه به موارد بیانشده، تأمین هوای تازه در ساختمان از اهمیت ویژهای برخوردار است. با این حال، باید توجه داشت که ورود هوای تازه باعث افزایش مصرف انرژی میشود؛ بهگونهای که به طور متوسط حدود 15 تا 20 درصد از انرژی مصرفی بخش حرارت در ساختمان مربوط به تأمین هوای تازه است.
نحوه تأمین هوای تازه در ساختمان
معمولاً تأمین هوای تازه یکی از مولفههای اصلی سیستمهای تهویه مطبوع (HVAC) محسوب میشود. در ساختمانهای مدرن و بزرگ، در صورتی که سیستم از نوع ترکیبی آب و هوا باشد، هوای تازه توسط دستگاه هواساز تأمین میشود.
در سیستمهای Full Fresh، دستگاه هواساز هوای تازه را از محیط خارج دریافت کرده و پس از عبور از مراحل فیلتراسیون و کویل گرمایشی یا سرمایشی (بسته به فصل)، آن را به دمای شرایط آسایش (حدود 75 درجه فارنهایت) رسانده و از طریق کانالکشی وارد فضا میکند.
در سیستمهای تمامهوا، هواساز میتواند به صورت Full Fresh یا به صورت ترکیب هوای تازه و هوای برگشتی عمل کند. بدیهی است که رساندن هوای تازه به شرایط آسایش مستلزم مصرف انرژی است.
به منظور کاهش مصرف انرژی، از مبدلهای بازیابی حرارت مانند Heat Wheel یا مبدل صفحهای استفاده میشود. در این تجهیزات، انرژی هوای خروجی به هوای ورودی منتقل شده و موجب صرفهجویی در مصرف انرژی میگردد.
سیستم VRF
سیستم Variable Refrigerant Flow که به اختصار VRF نامیده میشود، یکی از سیستمهای پیشرفته HVAC برای ساختمانهای مسکونی، تجاری و اداری است. این سیستم با نام VRV (Variable Refrigerant Volume) نیز شناخته میشود.
سیستم VRF از دو بخش اصلی تشکیل شده است:
- یونیت خارجی (Outdoor Unit)
- یونیتهای داخلی (Indoor Unit)
مبرد در یونیت خارجی چگالیده شده و پس از عبور از شیر انبساط، به کویلهای سرمایشی یونیتهای داخلی هدایت میشود. در یونیت داخلی، هوا از روی کویل DX عبور کرده و پس از کاهش دما به فضا دمیده میشود.
سیستمهای VRF به تنهایی قادر به تأمین هوای تازه نیستند؛ بنابراین برای تأمین هوای تازه در این سیستمها باید از تجهیزات جانبی استفاده کرد.
روشهای تأمین هوای تازه در سیستم VRF
استفاده از هواساز جداگانه
در پروژههایی که دارای موتورخانه گرمایشی و سرمایشی هستند، میتوان از هواسازهای مجهز به کویل آبی استفاده کرد.
استفاده از هواساز DX متصل به یونیت خارجی
در پروژههایی که فقط از سیستم VRF استفاده میشود، میتوان از هواساز DX استفاده کرد. در این حالت، یک انشعاب از یونیت خارجی به هواساز متصل شده و دمای هوای تازه مشابه سایر یونیتها کنترل میشود.


مطالب مرتبط: کمپرسورهای TURBOCOR (گریز از مرکز بدون روغن)
با توجه به اینکه تأمین هوای تازه در فصول سرد و گرم بار محسوس و نهان قابل توجهی ایجاد میکند، استفاده از سیستم بازیابی انرژی (Heat Recovery) توصیه میشود.
در این روش، هوای تازه ورودی با هوای اگزاست خروجی تبادل حرارت انجام داده و:
- در زمستان پیشگرم میشود
- در تابستان پیشسرد میشود


در فصول میانی سال نیز بدون مصرف انرژی زیاد، هوای تازه به شرایط مناسب نزدیک میشود.
دستگاه ECO-V
یکی از دستگاههای مورد استفاده جهت تأمین هوای تازه در سیستمهای VRF، دستگاه ECO-V است. این دستگاه بر پایه بازیابی حرارت عمل میکند.
در این سیستم، هوای تازه ورودی پس از تبادل حرارت با هوای برگشتی، وارد فضا میشود.




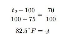
راندمان این دستگاه حدود 70 درصد است.
مثال محاسباتی – شرایط تابستانی:
دمای طرح خارج: 100°F
دمای طرح داخل: 75°F


با راندمان 70٪:


مثال محاسباتی – شرایط زمستانی:
دمای طرح خارج: 25°F
دمای طرح داخل: 70°F


دستگاه ECO-V مجهز به کویل DX
در صورتی که نیاز به افزایش یا کاهش بیشتر دمای هوای تازه باشد، میتوان از دستگاه ECO-V مجهز به کویل DX استفاده کرد.


در این حالت، هوای تازه پس از بازیابی حرارت، از روی کویل DX عبور کرده و به دمای مطلوب میرسد.
این دستگاه همچنین میتواند مجهز به سیستم رطوبتزن (Humidification) باشد تا:
- در تابستان کنترل رطوبت و رطوبتزدایی انجام شود
- در زمستان گرمایش و رطوبتزنی انجام گردد


دستگاه FRESH INTAKE
دستگاه FRESH INTAKE نیز یکی دیگر از تجهیزات تأمین هوای تازه در سیستمهای VRF است. این دستگاه هوای تازه را به صورت Full Fresh دریافت کرده و توسط کویل DX بسته به فصل، آن را گرم یا سرد میکند.
با توجه به ظرفیت محدود و ابعاد کوچک، این دستگاه قابلیت ایجاد فشار مثبت در فضا را داشته و به راحتی در سقف کاذب نصب میشود.


جمعبندی
تأمین هوای تازه در سیستمهای VRF با استفاده از:
- هواساز DX
- دستگاه ECO-V
- دستگاه ECO-V مجهز به کویل DX
- دستگاه FRESH INTAKE
قابل انجام است.
استفاده از سیستمهای بازیابی حرارت (Heat Recovery) باعث صرفهجویی قابل توجه در مصرف انرژی و افزایش راندمان سیستم میشود.
شرکت مهندسی و مشاوره صنایع مبتکران گلدیران با برند Gplus (جیپلاس)، بهعنوان نماد تولید داخلی در زمینه محصولات تهویه مطبوع و نماینده برندهای معتبر جهانی همچون LG (الجی)، Midea (مایدیا)، Clint (کلینت) و Rhoss (راس)، به شما این امکان را میدهد تا کیفیت هوای داخل منزل یا محل کار خود را به بهترین نحو بهبود بخشید. متخصصین تهویه مطبوع مبتکران گلدیران، با تعهد به کیفیت و ایمنی، در تمام مراحل انتخاب، نصب و نگهداری همراه شما هستند. فرقی نمیکند که به دنبال یک تصفیهکننده هوا باشید یا یک سیستم پیشرفته تهویه مطبوع؛ ما اینجا هستیم تا با ارائه راهکارهای مؤثر، محیطی راحت و ایمن برای خانواده شما فراهم کنیم.
با تکمیل فرم مشاوره خرید آنلاین یا تماس با شرکت مهندسی و مشاوره صنایع مبتکران گلدیران میتوانید از خدمات مشاوره رایگان ما بهرهمند شوید.







بدون دیدگاه